Negative binomial regression is a method that is quite similar to multiple regression. However, there is one distinction: in Negative binomial regression, the dependent variable, Y, follows the negative binomial. As a result, the variables can be positive or negative integers.

When the mean of the count is lesser than the variance of the count, then Negative binomial regression is used to test for connections between confounding and predictor variables on a count outcome variable. Negative binomial regression is most commonly used to model over-dispersed count outcome variables.

Examples of Negative Binomial Regression

Example 1: At two schools, administrators are looking at the attendance habits of high school juniors. A standardized math test and the type of program in which the students are enrolled indicate the number of missed days.

Description of the Data

Let's look at an example to help you understand. Assume that 314 kids from the high school are present. This information was gathered from two urban schools and is saved as Negative binomial regression data. Days Abs, or daysabs, is the response variable of interest. One of the variables in math determines the pupils' grades, and another is prog. The term "program" refers to all the programs in which the students have enrolled.

So, let's look at the descriptive plots and stats.

dat <- read.dta("http://www.simplilearn.com/Data/Negative binomial regression_data.dta")

dat <- within(dat, {

    prog <- factor(prog, levels = 1:3, labels = c("General", "Academic", "Vocational"))

    id <- factor(id)

})

summary(dat)

Output:

summarize daysabs math

Variable

Obs

Mean

Std

Min

Max

daysabs

314

5.9

7.03

0

35

maths

314

48.2

25.6

1

99

As you can see, each of these variables has valid data. Their distributions, as you can see, appear to be fairly sensible. The outcome's mean is lower than the variance. So, let's discuss the variables. The average number of days students are absent by program type is shown in the table above. It also implies that program type is one of the strongest predictors of the number of days missed. It is so because the mean value fluctuates depending on the software. The variations within each prog level are greater than the levels' mean. These disparities indicate over-dispersion and that a NB model should be used.

Analysis Methods You Might Consider

There are various analysis methods available for this type of study. The following are a few of them:

  • Negative Binomial Regression

It can be used whenever there is data that is overdispersed. In layman's terms, the conditional mean is smaller than the conditional variance because both methods have the same structure; Negative binomial regression and Poisson regression share some similarities.

  • Poisson Regression Method

The Poisson regression method is used to model the count data.

  • Zero Inflated Models

These models are used when the model needs to account for all the excess zeros.

  • OLS Regression

When the count variables' results are long transformed, it can be difficult to examine them using other methods; hence the OLS regression approach is applied. However, OLS regression approaches have some drawbacks, such as data loss.

Negative Binomial Regression Analysis

The "Negative binomial regressionreg" command estimates the Negative binomial regression model. Before the variable "prog," there is an "i." The letter I indicates that the variable is a categorical variable of type factor. These should be included in the model as indicator variables.

Fitting Poisson Model

Iteration 0:

Log likelihood= -1328.67

Iteration 1:

Log-likelihood= -1328.64

Iteration 2:

Log likelihood= -1328.64

Fitting Constant Only Model

Iteration 0:

Log likelihood= -899.2

Iteration 1:

Log likelihood= -896.472

Iteration 2:

Log likelihood= -896.473

Iteration 3:

Log likelihood= -896.472

Fitting Full Model

Iteration 0: 

Log likelihood= -870.4

Iteration 1

Log likelihood= -865.9

Iteration 2

Log likelihood= -865.6

Iteration 3

Log likelihood= -865.6

Iteration 4

Log likelihood= -865.6

Negative binomial regression                                      Number of obs= 314

                                                                                     LR chi2(3)      =  61.69

                                                                                     Prob>Chi2      = 0.0

                                                                                     Pseudo R2     = 0.03

Dispersion= mean

log-likelihood= -865.6

Likelihood-ratio test of alpha=0:  chibar2(01) =  926.03 Prob>=chibar2 = 0.000

  • The iteration log starts with the output. The first part is fitting the Poisson model, a null model, and the negative model. The final value of the log probability for the complete model is displayed as the last number in the iteration log.
  • The number of observations is 314, and the chi-square and p-value are shown next. Model as a whole. You can conclude from the p-value that this model is statistically significant. A pseudo-R2 is also included in the header, which in this case is 0.03.

Other points to be considered:

  • The Negative binomial regression method should be used if there are small samples.
  • Zero-inflated approaches should be utilized when there are excess zeroes present.
  • If zeroes are not considered throughout the data production process, you should use a zero-truncated model.
  • The outcome variable in Negative binomial regression analysis should be a positive integer. The exposure variable can't be 0.
  • A Negative binomial regression analysis approach can also be run using the command "glm." This can be done using the log link and the binomial family.
  • The pseudo-R-squared can be measured in a variety of ways. Every metric gives information identical to that provided by the R-squared in the regression of OLS.

Motivation for Using the Negative Binomial Regression Model

  1. At first, we will look through the data from the real world and analyze that. 
  2. The next step will be to refine that regression set
  3. Then we will use the Negative binomial regression model and generate predictions.
  4. After that, we will implement the python method too.
  5. Finally, we'll see if the Negative binomial Regression model's performance is superior to that of the Poisson model.

Regression Goal

The following is a data of the cyclist on several New York City bridges.

DateDayHigh TempLow TempPrecipitationQuennsbon bridgeManhattan BridgeBrooklyn bridgeWilliamsburg bridgeTotal

6-1

friday

79.2

61

0.01

3568

7687

3456

6560

21,271

6-2

saturday

78

62.1

0.02

3278

4557

6543

5431

19,809

6-3

sunday

78.3

61.6

0.00

2689

4323

7896

8905

23,813

6-4

monday

78.2

65.3

0.00

1905

6578

4567

5678

18,728

6-5

Tuesday

77

67.4

0.01

2070

7778

6547

4567

20,962

6-6

wednesday

78.3

66

0.02

1093

5436

7865

8709

23.103

negative_binomial_regression

Our Regression Strategy

We will put our focus on the QuenNB on the bridge. So, using Negative binomial regression, we will forecast the number of cyclists on the Quennsbon bridge on that particular day. The first step is to create a list of variables.

Y is the vector from days 1 to n.

As a result, y = [y 1, y 2, y 3,...,y n].

The total bicyclists on the day i is y_i

Regression variables are denoted by the letter X. Because the data set contains n number of independent observations and each observation has values for m regression variables, the size of Matrix X is a (n x m).

λ= the rate vector of events A major feature of data sets is that the vector is sizable (n x 1). Also, it has n rates [λ 0,λ 1, λ 2,...,λ n], which correspond to the n counts in y vector. The, y_i, observed count in the count's vector y is supposed to be driven by the rate λ_i for observation i The column is missing from the provided data. λ Vector, on the other hand, is a derived variable.

Matrix X                                                                              Vector y                 

Date

Day

High Temp

Low Temp

Precipitation

QuenNB on bridge

6-1

Friday

79.2

61

0.01

3568

6-2

Saturday

78

62.1

0.02

3278

6-3

Sunday

78.3

61.6

0.00

2689

6-4

Monday

78.2

65.3

0.00

1905

6-5

Tuesday

77

67.4

0.01

2070

6-6

Wednesday

78.3

66

0.02

1093

We will test the model's performance after training using holdout test data that the model hasn't seen during training.

In Negative binomial regression, we have to define the parameter α. 

Variance= mean + α * mean

When the value of p is 1

Variance= mean + α * mean

                  1+ α  * mean

This is the NB 1 model

When the value of p is 2

Variance= mean + α * mean2

This is the NB 2 model, and we will implement that. 

The Accurate Value of α

We will use auxiliary (OLS) Ordinary least squares regression and there is no constant.

NBR

Y=B1x+B0

Once we've used the auxiliary regression method to the data using the Ordinary Least Squares Regression approach, we can find the value.

We fitted the Poisson regression model to our data set to determine λ_i

All of the components for the Negative binomial 2 regression strategy are now in place. Let's take a look at the big picture.

Steps to Perform Negative Binomial Regression in Python

  • Step 1: To test the Poisson regression method on the training data set.

First set up the regression expression. The regression variables DAY, DAY OF WEEK, MONTH, HIGH T, LOW T, and PRECIP are used to convince patsy that BB COUNT is the dependent variable.

expr = """BB COUNT DAY + DAY OF WEEK + MONTH + HIGH T + LOW T + PRECIP""" expr = """BB COUNT DAY + DAY OF WEEK + MONTH + HIGH T + LOW T + PRECIP"""

Arrange the testing and training data sets' X and y matrices. Patsy makes it really easy to do.

dmatrices(expr, df train, return type='dataframe'), y train, X train = dmatrices(expr, df train, return type='dataframe')

dmatrices(expr, df test, return type='dataframe') = y test, X test

Train the Poisson regression model using the statsmodels GLM class.

sm = poisson training results

family=sm.families. GLM(y train, X train, family=sm.families.

Poisson()).

fit()

This step completes the training Poisson regression model. 

  • Step 2: To fit the auxiliary Ordinary least squares regression model and find α.

Import the api package into your project.

In the Data Frame of the training data set, add the vector called 'BB LAMBDA.' 

Keep in mind that the measurements are (n x 1). We will use (161 x 1). Keep in mind that the vector may be found in Poisson training results.mu:

df train ['BB LAMBDA'] = poisson training results.mu 

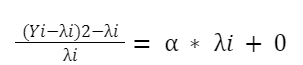
Next, let's add the derived column to the pandas Data Frame called 'AUX OLS DEP.' The values of ordinary least square regression's dependent variable will be stored in this new column.

df train ['AUX OLS DEP'] = df train.apply df train. apply df train.apply (lambda x  ((x['BB COUNT'] - x['BB LAMBDA'])**2 - x['BB LAMBDA']) / x['BB LAMBDA'], axis=1) - x['BB LAMBDA'])

Let's utilize patsy to create the OLSR model specification. The '-1' at the back of the phrase is a hackneyed way of saying: don't use a regression intercept.

"""AUX OLS DEP BB LAMBDA - 1""" ols expr = """AUX OLS DEP BB LAMBDA - 1"""

Let’s fit the OLSR model, and for that follow these steps:

aux_olsr_results = smf.ols(ols_expr, df_train).

fit()

Is there a statistically significant difference of α?

Is (0.037343) a statistically significant value? Is it possible to consider it 0 for all functional purposes?

Why is it critical to discover this information?

Variance= mean + α * mean2

If α  is 0,

variance= mean

The t-score of the regression coefficient is stored in OLSResults. Let's have it printed:

aux_olsr_results.tvalues

The crucial t-value at a 95% confidence level is 2.34988, with degrees of freedom=160. This is significantly lower than the t-statistic of 4.814096. So, in conclusion

This value of α=0.037343 is significant statistically.

  • Step 3: Provide the alpha value found in the previous step.

NB 2_training_results = sm.GLM(y_train, X_train,family=sm.families.NegativeBinomial(alpha=aux_olsr_results.params[0])).fit()

  • Step 4: It is time for predictions using the trained Negative binomial regression2 model.

NB 2_predictions = NB 2_training_results.get_prediction(X_test)

NBR_2

The NB 2 model appears to be tracking the bicycle count trend rather closely. 

  • Step 5: Measuring the goodness-of-fit of the NB Regression2 model

The training summary of the NB 2 model contains three points of relevance in terms of goodness-of-fit. We'll go over each of them individually.

NB  Model result

Log likelihood

-1383.2

Deviance

330.99

Pearson chi2

310

Poisson Regression model result

Log-likelihood

-12616

deviance

23682

Pearson chi2

2.38e+04

The Log-Likelihood value is the first parameter to consider.

The L-R Test

The negative binomial2,  Log-likelihood is -1383.2, while the Poisson regression model has a Log-likelihood of -12616. 

Thus, 2 * (12616–1383.2) = 22465.6 is the LR test statistic. This result is significantly higher than the 6.635 critical value of χ2(1) at the 1% significance level.

The Pearson Chi-Squared and Deviance Statistics

The NB 2 model's Pearson and Deviance values are 310 and 330.99, respectively. The value of degrees of freedom of residuals is 165 and of p is 0.05 to produce a quantitative evaluation of the goodness-of-fit at some confidence level, say 95 per cent (p=0.05). This value is then compared to the observed statistics. When this comparison was made, we discovered that the Chi-Squared value is 195.973 when DF Residuals = 165 and p=0.05. However, this value is much lower than 310 and 330.99. As a result, we can deduce that the NB 2 model can be suboptimal.

Our AI & Machine Learning Program Duration and Fees

AI & Machine Learning programs typically range from a few weeks to several months, with fees varying based on program and institution.

Program NameDurationFees
Applied Generative AI Specialization

Cohort Starts: 30 Apr, 2026

16 weeks$2,995
Professional Certificate Program inMachine Learning and Artificial Intelligence

Cohort Starts: 1 May, 2026

20 weeks$3,750
Applied Generative AI Specialization

Cohort Starts: 1 May, 2026

16 weeks$2,995
Applied Generative AI Specialization

Cohort Starts: 7 May, 2026

16 weeks$2,995
Oxford Programme inStrategic Analysis and Decision Making with AI

Cohort Starts: 14 May, 2026

12 weeks$3,390
Microsoft AI Engineer Program

Cohort Starts: 20 May, 2026

6 months$2,199
Professional Certificate in AI and Machine Learning

Cohort Starts: 20 May, 2026

6 months$4,300
Learn from Industry Experts with free Masterclasses
  • Build an Adventure Game Live with Python and GitHub CoPilot
    AI & Machine Learning

    Build an Adventure Game Live with Python and GitHub CoPilot

    25th Apr, Saturday8:00 PM IST
  • Prompt Engineering Masterclass: Train Your AI to Think the Way You Do
    AI & Machine Learning

    Prompt Engineering Masterclass: Train Your AI to Think the Way You Do

    18th Apr, Saturday7:00 PM IST
  • Career Lessons from Founders Who Skipped the Traditional Path
    AI & Machine Learning

    Career Lessons from Founders Who Skipped the Traditional Path

    11th Apr, Saturday8:00 PM IST
prevNext