Everything You Need To Know About CPM: The Critical Path Method With Examples
Critical Path Method is an algorithm or a tool to ease complex project scheduling. It finds the sequence of critical tasks that determines the minimum completion time of a project, thus enabling the manager to optimize resources, predict delays, and improve efficiency. Though CPM brings some benefits in the form of greater control and visualization, it could very well miss out on some factors of a large-scale project. It applies key CPM terms such as early start, late start, slack, and float. Other features that can be added to enhance CPM include automated scheduling and resource management. Even though it is usually compared to PERT or Gantt, the choice of method to use should be based on the needs of the project. Steps in applying CPM are given to ensure readiness for its application.

CPM, or the Critical Path Method, is an algorithm used in project management to schedule project activities. The critical path refers to the longest stretch of the activities and a measure of them from start to finish. The primary goals of CPM are to determine the critical path, estimate the minimum project duration, and highlight the tasks that cannot be delayed without affecting the overall timeline.

What is the Critical Path Method (CPM)?

The critical path method (CPM) is a strategy for surveying plan adaptability and distinguishing tasks fundamental for project completion. In the project, the critical path is the longest succession of tasks that must be done on time for the project to be completed. For instance, in a construction project, pouring the foundation might be a critical task. If such tasks are delayed, the project will also be delayed.

PMP Certification Essential for Senior-Level Roles

PMP Certification TrainingExplore Course
PMP Certification Essential for Senior-Level Roles

Why Use the Critical Path Method?

Critical path method (CPM) empowers project managers to set priorities, distribute resources, and schedule projects with confidence. There are various reasons to use this method, including the ones listed below:

Improves Future Planning

Improves future planning by utilizing critical path method (CPM) to compare expectations with actual progress. Future undertaking thoughts can be affected by the information accumulated from progressing projects.

Facilitates More Effective Resource Management

It enables project managers to efficiently prioritize tasks, giving them a clear understanding of how and where to deploy resources, thereby enhancing productivity.

Helps Avoid Bottlenecks

Project bottlenecks can be a source of stress and time loss. By outlining project dependencies using a network diagram, you can more accurately decide which tasks can and cannot be finished in parallel, saving time and reducing stress.

With the help of critical path method (CPM), we’ll be able to create a model that enables you to determine the following: 

  • Tasks required to complete the project
  • Dependencies between tasks
  • The duration required to complete an activity

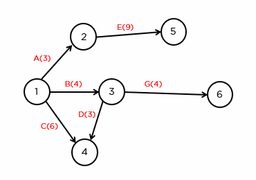
Before we can get started with CPM or the Critical Path Method, we’ll have to understand two major concepts: events and Activities. To help us understand them better, let’s look at the process's network diagram (which is also the output). 

>

example cpm

This output represents some of the most important parts of the process: Events and Activities.

Event

Events are represented by a circle and will occur at the start and end of an activity. Event 1 is the tail event and Event 2 is the head event. In the case of our example, the events are 1, 2,3,4, 5, and 6. Taking into consideration, nodes 1 and 2, and the connection between them, 1 will be referred to as the tail event, and 2 will be referred to as the head event. 

Similarly, for 2 and 3, 2 is the tail event, and 3 is the head event. 

PMP Certification Essential for Senior-Level Roles

PMP Certification TrainingExplore Course
PMP Certification Essential for Senior-Level Roles

Activity

Activities represent action and consumption of resources like time, money, and energy required to complete the project. In the case of our example, A, B, C, D, E, and F represent the activities taking place between their respective events. 

Dummy Activity

A dummy activity represents a relationship between two events. In the case of the example below us, the dotted line represents a relationship between nodes 4 and 3.
The activity between these nodes will not have any value. 

dummy act

Other rules to consider

  • The network should have a unique starting and ending node. In the case of our example, event 1 represents a unique starting point, and 6 represents the unique completion node.
  • No activity can be represented by more than a single arc (the line with an arrow connecting the events) in the network.
  • No two activities can have the same starting and ending node. 

Now, let’s talk about the process of the Critical Path Method with an example. 

The Critical Path Method

The objective of the question below is to determine the critical path, based on the information available, like activity, immediate predecessor, and duration (which in this case, we’ll take as months)

question cpm

First, let’s analyze the activities and their immediate predecessors. 

Activities A, B, and C don’t have any immediate predecessors. This means that each of them will have individual arcs connecting to them. First, we’ll draw nodes 1 (which is the starting point) and 2. We’ll add the activity on the arc, along with the duration. 

cpm

We’ll have to also keep in mind that A acts as the immediate predecessor for both nodes E and F. Similarly, let’s draw the arcs for nodes B and C. 

activitybc

Before we can draw the nodes for activity D, a quick look at the table will tell us that it is preceded by activity B and that a combination of activities C and D act as immediate predecessors for activities H and J. This means that both activities, C and D, have to connect at some point. That’s why we’ll draw an arc from events 3 and 4. 

activityd

So now, we’ve completed activities A, B, C, and D of the critical path method. Next, let’s take a look at activity E. 

Activity E is preceded by activity A and acts as the immediate predecessor for activity J. Since this is an independent activity, we’ll be able to draw an arc like this.

cpm

If we have a look at activity F, it’s preceded by activity A, and a combination of F, G, and H act as immediate predecessors for activities K and L. So, let’s wait before we take it up. Instead, let’s shift our attention to activity G. It’s preceded by B. So, we’ll draw it like so.

PMP Certification Essential for Senior-Level Roles

PMP Certification TrainingExplore Course
PMP Certification Essential for Senior-Level Roles

activity

Now, let’s take a look at activity H. It is preceded by both C and D and will act as the immediate predecessor for K and L, along with F and G. So, we can connect node 4 to 6. 

activity h

Now that we’ve done that, let’s go back to activity F.  Now that we know where activities G and H connect to, we can combine nodes 2 and 6, fulfilling the conditions required for activities K and L.

activity f

Following this, we have an activity I. The activity I is preceded by activities C and D. It also acts as an immediate predecessor to activity M. Since it’s an independent activity, we can draw it like so. 

activity i

Next, let’s take a look at activity J. Activity J is preceded by activity E. We can also see that a combination of J and K will act as an immediate predecessor for activity N. We can then draw an arc like this. 

activity j

Let’s go on to activity K. Here we can see that K is preceded by F, G, and H. It also acts as an immediate predecessor to activity N. So, we’ll connect nodes 6 to 8. 

activity k

Next, let’s continue with activity L. The table now shows that L, M, and N don’t act as immediate predecessors for any other activity. Hence it can be assumed that it’ll connect to the final node. 

L is preceded by activities by F, G, and H. The arc can be drawn like so. 

activity l

We’ll now go to activity M. This activity is preceded by activity I. Similarly, we can connect an arc from node 8 to 9 for activity N. 

activity m

Now, the network is complete! 

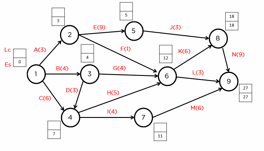
Now, to find the critical path. For this, we’ll need to find two values, Earliest Start Time (Es) and Latest Completion Time (Lc).

The process of determining the Es for all events is called a forward pass. 

The process of determining the Lc for all events is called a backward pass.

Let’s get into the forward pass. For this, first, we’ll need to create boxes at all nodes. These are then divided into two. The lower half of the box represents the earliest start time of the node, while the upper half represents the latest completion time. 

Your network diagram should look something like this. 

eslc

For this, we’ll be using the formula, Esj = max (Esi + Dij)

Which when simplified, the earliest start time for the second node (head node), is the maximum of the combination of the earliest start time of the tail node and the duration between the two nodes. 

So, for node 1, the earliest start time is always zero. 

For node 2,
it would be, Es2 = 0 (earliest start time for node 1) + 3 (duration between 1 and 2) = 3

es2

For node 3, 

it would be, Es3 = 0(Es1) + 4(D1 to 3) = 4

es3

For node 4, we can see that two arcs connect to it. This means that we’ll need to choose among the largest of the two options available to us. 

Es4 = 0(Es0) + 6 = 6 or

Es4 = 4(Es3) + 3 = 7

We’ll choose 7 since it’s larger.

es4

Similarly, we have three options to choose from when it comes to node 6. Since three arcs connect to it. 

Es6 = 3(Es2) + 1(D2-3) = 4

Es6 = 4(Es3) + 4(D3-6) = 8

Es6 = 7(Es4) + 5(D4-6) = 12

Hence we’ll select the last option since it’s the largest among the three. 

es6

Now, for node 5. Since it’s directly connected to node 2, we can directly apply the formula. 

Es5 = 3(Es2) + 9(D2-5) = 12

es5

Let’s take node 8. 

Es8 = 12(Es5) + 3(D5-8) = 15 or

Es8 = 12 (Es6) + 6(D6-8) = 18 

We’ll choose Es8 as 18 since it’s the larger of the two. 

es8

Now for node 7. We can directly apply the formula to these nodes.

Es7 = 7(Es4) + 4(D4-7)  = 11

es7

Finally, we’ve got node 9.

It has 3 nodes connecting towards it. We’ll have to choose the maximum of the three. 

Es9 = 18(Es8) + 9(D8-9) = 27

Es9 = 12(Es6) + 3(D6-9) = 15

Es9 = 11(Es7) + 6(D7-9) = 17

We’ll choose the arc from node 8 since it’s got the highest value.  

es9

And like that, the forward pass is complete. Now, for the second part of the critical path method.  Let’s take up the backward pass. For that’ we will be using the following formula. 

Lci = min(Lcj - Dij)

This, when put simply, means the latest completion time of the tail node is equal to the latest completion time of the head node minus the distance between the two. 

Let’s start from the final node, number 9. 

The Lc for this node will always be equal to its Es.
So, Lc9 = 27.

es9

Next, let’s have a look at the latest completion time for the 8th node. Since it’s directly connected only to the 9th node, we can directly apply the formula mentioned earlier. 

Lc8 = 27(Lc9) - 9(D9-8) = 18

lc8

Now, let’s have a look at the latest completion time for node 7. Since there’s a direct connection between nodes 9 and 7. 

Lc7 = 27(Lc9) - 6(D9-7) = 21

lc7

Let’s move on to node 6. As we can see in the diagram, there are two points extending to nodes 8 and 9 from node 6. So we have two options to choose from. 

Lc6 = 18(Ls8) - 6(D6-8) = 12 or

Lc6 = 27(Ls9) - 3(D6-9) = 24 

We’ll choose the Lc of node 6 as 12.

lc6

We’ll now go to node 5. Since it’s directly connected to the 8th node, we can directly apply the equation.  

Lc5 = 18(Lc8) - 3(D5-8) = 15

lc5

Next up, let’s find the latest completion time for node 4. 

Since there are two connections extending from the node, to nodes 6 and 7 respectively, we’ll need to select the minimum between the two. 

Lc4 = 21(Lc7) - 4(D4-7) = 17

Lc4 = 12(Lc6) - 5(D4-6) = 7

We’ll choose 7 as the latest completion time for node 4. 

lc4

Now for node 3. 

Since there are two nodes connecting from node 3 to nodes 4 and 6. So, we’ll need to choose between the 2. 

Lc3 = 12(Lc6) - 4(D3-6) = 8 or

Lc3 = 7(Lc4) - 3(D3-4)  = 4

We’ll choose 4 as the latest completion time for node 3. 

lc3

Let’s now go to node 2. Again, since there are two connections made from 2 to node 5 and 6, we’ll need to choose the minimum among the two. 

Lc2 = 15(Lc5) - 9(D2-5) = 6

Lc2 = 12(Lc6) - 1(D2-6) = 11

We’ll choose the latest completion time of 2, as 6.

lc2

And finally, we have node 1. 

Since there are connections to 2, 3, and 4 from 1, we’ll need to choose from the three.

Lc1 = 6(Lc2) - 3(D1-2) = 3

Lc1 = 4(Lc3) - 4(D1-3) = 0

Lc1 = 7(Lc4) - 6(D1-4) = 1

We’ll choose 0 as the latest completion time for the node.

lc1

And there we go! The backward pass is complete. 

Now, for the final step of the critical path method. To determine the critical path, there are three major criteria that need to be satisfied. 

Esi = Lci

Esj = Lcj

Esj - Esi = Lcj - Lci = Dij

From the diagram, we can see that nodes that satisfy the requirements are: 1, 3, 4, 6, 8, and 9. 

Hence the activities on the critical path are B - D - H - K - N.

final cpm

Hence the critical path is B + D + H + K + N = 4 + 3 + 5 + 6 + 9 = 27. 

And there we go! We’ve found the critical path! 

Get up to INR 21 Lakhs After Clearing PMP Exam

PMP Certification TrainingExplore Course
Get up to INR 21 Lakhs After Clearing PMP Exam

Advantages of Using CPM in Project Management

The advantages of using critical path method (CPM) are as follows:

  • Effective Communication: When creating critical path method schedules, all phases of a project's life span must be considered. The program's structure becomes more achievable and firm when the skills shared by various team members are integrated. Therefore, effective communication is the key.
  • Easier to Prioritize Tasks: Project managers can prioritize tasks effectively and estimate their float by determining the critical path. Float indicates the amount of time a task may be put off before it affects its completion. A lower float indicates a greater priority.
  • Accurate Scheduling: Critical path method (CPM) is a popular and dependable methodology for enhancing the precision of project schedules. Several project managers utilize CPM with the Programme Evaluation and Review Technique (PERT), which supports teams in estimating overall project length. 
  • Better Visualisation: Gantt charts and CPM network diagrams, which show critical path timelines, can help project managers understand a project's timeline and progress more quickly. These visual tools allow them to understand a project's direction more intuitively than a less eye-catching alternative.

Disadvantages of Using CPM in Project Management

Some of the disadvantages of using the critical path method are as follows:

  • Multiple Complexities: The critical path method (CPM) involves several moving elements and detailed computations. Even with the aid of software, the potential for human error in data entry is a significant concern, underscoring the need for caution and attention to detail.
  • Limited Applicability: Only some project types are suited to the critical path method. For instance, projects requiring creativity, like product design or research work, tend to come along in unforeseen forms and fail to lend themselves well to CPM. Similarly, projects with high uncertainty or those that involve a high degree of risk may not be suitable for critical path methods (CPM).
  • Less Understanding of Resources: The critical path method's lack of consideration for resource limitations is a significant drawback. It's important to stress the need for a more comprehensive project management approach that includes the impact of resource availability on project schedules.
Transform your project management expertise with Simplilearn’s PMP Certification Course. Unlock advanced strategies and in-depth knowledge to essential for a project management professional. Join now and take the next big step in your career!

Key Terminologies in CPM

Some of the fundamental terminologies that are important to understand in critical path method (CPM) for the effective management of project schedules are given below:

  • Critical Path: A series of activities in a project which, when delayed, will delay the project completion time. In other words, the longest chain of activities must be completed on schedule if the project must be completed by its due date. Any delay in the chain will directly impact the completion time for the entire project.
  • Early Start (ES): The earliest time an activity may start if all activities preceding it begin as early as possible.
  • Late Start(LS): The latest time at which an activity can start without causing the project's end date to be delayed. 
  • EF(EF): Early Finish: The earliest time an activity may finish, calculated from its ES and duration.
  • Late Finish (LF): It is the latest date a task can be finished without impacting the overall project timeline.
  • Slack (Float): The time, usually measured in days, that an activity can be delayed without impacting the overall completion of a project. Activities on the critical path have zero slack.
  • Total Float: The total time an activity may be delayed without impacting the end date of a project. This is referred to as Total float.
  • Free Float: The time that an activity can be delayed without delaying the start of any subsequent activities.
  • Duration: The total time for an activity from its commencement to completion.

All these terminologies are basic but form the core for computing and understanding the critical path, which assists the project manager in effectively planning, monitoring, and controlling the project's timeline.

How to Calculate the Critical Path of a Project

Calculating the critical path of a project involves identifying the sequence of activities that will determine the minimum completion time for a project. Here's how you can calculate the critical path:

  1. List all tasks: Identify all the things that need to be done to complete a project and list them. Every task is supposed to have a defined duration.
  2. Next, determine dependencies: Understanding the tasks that must be completed before others can start is a strategic move. It puts you in control of the project's sequence and ensures a smooth flow of tasks.
  3. Create Network Diagram: A network diagram or flowchart can be drawn showing each of the tasks and their dependencies. Every task or event gets represented on a node. Arrows depict relationships among these nodes.
  4. Estimate Task Durations: State a duration for every task, usually measured in days or weeks. Improving time management skills can be beneficial.
  5. Forward Pass: Compute ES, the earliest start, and EF, the earliest finish times for every task from the project start. The procedure for doing this is called the forward pass. ES will tell when a task can start as soon as possible, and EF will tell when it can finish as quickly as possible, considering its duration.
  6. Perform Backward Pass: Work the latest start and finish times from the project's end date. This is called the backward pass. LS represents the latest time a task can start without delaying the project, and LF denotes the latest it can finish.
  7. Identify the Critical Path: This is the set of activities with ES equalling LS. This means zero slack or float for those activities. Simply put, delays in these activities will directly impact the project completion date.
  8. Analyzing the Critical Path: Very closely monitor the critical path tasks, as they will decide the project's overall timeline. As these tasks will determine the length of the project timeline, they must be taken care of to avoid any delay.
Enroll in the Professional Certificate Program in Project Management and gain essential skills to excel in project leadership. Start today and take your career to the next level!

18+ Mock Tests | 20+ Projects | Harvard Case Studies

How to Use the Critical Path Method

The critical path method (CPM) gives you an insight into the status of your project and enables you to keep track of activities and their turnaround times. These are some additional uses for CPM.

Compress Schedules

There are situations when project deadlines may be advanced, but this could be better. You can use fast-tracking or crashing as a schedule compression strategy in such circumstances, that would offer you an opportunity to meet your project goals more efficiently.

Fast-tracking: Analyze the critical path to identify tasks that can be completed concurrently. For instance, if Task A and Task B are not dependent on each other, they can be fast-tracked. By using parallel processes like these, the entire length will be shortened.

Increasing resources is a step in the process of 'crashing' operations. It is crucial to ensure the additional resources fit within the project's scope before acquiring them. Equally important is to inform the stakeholders of any modifications, demonstrating your responsibility and consideration for their involvement.

Here's a golden ticket to double your salary!

Earn your certificate post this FREE course today!Start Learning
Here's a golden ticket to double your salary!

Resolve Resource Shortages

Remember that the critical path method (CPM) does not account for resource availability. However, resource-leveling tactics can be a game-changer, helping you resolve resource deficits like an overbooked team member or a lack of equipment and ultimately leading to a more successful project.

Resource-leveling strategies play a crucial and reassuring role in managing project schedules. They help alleviate resource over-allocation problems and ensure that a project can be completed with available resources, instilling a sense of confidence in your project management.

Resource-leveling tactics are a tool of control for project managers. They are highly adaptable, allowing you to modify the critical route or apply this strategy to floated activities. This adaptability makes you feel flexible and agile, giving you the power to manage your project resources effectively and ensuring a sense of security in your project management.

Compile Data for Future Use

Since you're working with informed estimations for activity durations, the schedule generated by the critical path method (CPM) is liable to alter. Therefore, as the project progresses, you can contrast the original critical path with the current one. Future studies can use this information to predict work durations more precisely.

Critical Path Method Software

Programs or software specifically designed for project management that lets you create critical path schematics for a given project are called critical path software or critical path method (CPM) software. These tools make your daily activities more accessible by helping you analyze, schedule, and manage project tasks, reliance, and resources.

Here are some of the critical path method software: 

  • Office Timeline
  • Smartsheet
  • Zoho Projects 
  • Liquid Planner
  • Project Manager
  • Wrike
  • nTask
  • Lucid Chart

Features of Critical Path Software

The general features of critical path software are as follows:

  • Complete process visibility using Gantt charts and Kanban boards
  • Set a task, an overview of the task, assignees, and to-do lists
  • Interact on discussions or challenges to projects
  • Make dependencies between tasks
  • Set both the actual and projected dates
  • Control spending and produce a financial summary
  • Identify challenges and risks, eventually delegate them
  • Integrations by third parties
  • Track your tasks

Key Critical Path Terms for the PMP Exam

Some of the critical path terms that can be important for the PMP exam, which includes the question of what critical path method (CPM) is, are as follows: 
1. Critical Path Method: This sequential project management approach for process development is not just a theoretical concept but a practical tool that distinguishes between essential and minor duties, thereby avoiding delays and workflow constraints.
2. Critical Path DRAG: The total time of an essential action adds to the project's duration. However, reducing the length of one basic activity to a minimum could significantly shorten the time needed to complete the project, underscoring the impact of your decisions.
3. Criticality Index: It is a crucial tool in risk analysis, displaying how often a specific activity has been on the critical path throughout the study. High Criticality Index activities are more inclined to be placed on the critical path, which increases the urgency for you to master this concept to avoid project delays
4. Total Float: The amount of time that can be added to an activity's early start date yet to prevent the project as a whole from being pushed back.
5. Free Float: A task's duration can only be postponed by advancing the early start time of a succeeding task.
6. Forward Pass: This is the strategy for determining the critical path method's early start or finish times for tasks.
7. Backward Pass: The strategy to determine when an activity in the critical path method will have a late start or finish.
8. Network Diagram: A network diagram shows the connections between project activities. It is typically created from left to right to symbolize the project's sequence.
9. Network Analysis: This involves deconstructing a complex project into its various components (tasks, timelines, etc.) and graphing those parts to show how they relate. This method can help project managers identify the critical path and allocate resources effectively. It also aids in visualizing the project's timeline and dependencies, which is crucial for project planning and execution.

Ready to elevate your project management career? Enroll in Simplilearn’s PMP Certification Course today and gain the skills and credentials to stand out in the job market. Start your journey towards becoming a PMP-certified professional now!

Example of Critical Path Method in Action

Here is an example of how the Critical Path Method (CPM) is applied in a real-world project: organizing a large corporate conference. This project involves several tasks, such as booking the venue, arranging catering, sending out invitations, setting up the stage, and preparing presentations.

Step 1: List All Tasks

First, we identify and list all the necessary tasks for the conference:

  • Task A: Book Venue
  • Task B: Arrange Catering
  • Task C: Send Invitations
  • Task D: Set Up Stage and Audio-Visual Equipment
  • Task E: Prepare Presentations

Step 2: Determine Dependencies

Next, we identify which tasks depend on the completion of others:

  • Task B (Arrange Catering) can only start after Task A (Book Venue) is completed.
  • Task C (Send Invitations) also depends on Task A (Book Venue).
  • Task D (Set Up Stage) depends on Task A (Book Venue).
  • Task E (Prepare Presentations) is independent and can start at any time.

Step 3: Estimate Durations

We then assign a duration to each task, estimating how long each will take:

  • Task A: Book Venue - 5 days
  • Task B: Arrange Catering - 3 days
  • Task C: Send Invitations - 2 days
  • Task D: Set Up Stage - 1 day
  • Task E: Prepare Presentations - 4 days

Step 4: Create a Network Diagram

A network diagram is created to visualize the tasks and their dependencies. This helps in seeing the flow of tasks:

  • Task A is the starting point.
  • Tasks B, C, and D branch off from Task A.
  • Task E is independent.

Step 5: Perform a Forward Pass

We calculate the earliest start (ES) and earliest finish (EF) times for each task:

  • Task A: ES = 0, EF = 5 (since it’s the first task)
  • Task B: ES = 5, EF = 8 (starts after Task A finishes)
  • Task C: ES = 5, EF = 7 (starts after Task A finishes)
  • Task D: ES = 5, EF = 6 (starts after Task A finishes)
  • Task E: ES = 0, EF = 4 (independent, can start at any time)

Step 6: Perform a Backward Pass

Now, we calculate the latest start (LS) and latest finish (LF) times for each task to determine flexibility:

  • Task A: LS = 0, LF = 5
  • Task B: LS = 5, LF = 8
  • Task C: LS = 6, LF = 8
  • Task D: LS = 7, LF = 8
  • Task E: LS = 0, LF = 4

Step 7: Identify the Critical Path

The critical path is the sequence of tasks with no slack (float), meaning any delay in these tasks will delay the entire project. In this case:

  • The critical path is Task A → Task B, with a total duration of 8 days. This path has zero slack, so any delay here directly affects the conference date.

Step 8: Monitor and Adjust

As the project progresses, the project manager will closely monitor Task A (Book Venue) and Task B (Arrange Catering) to ensure they stay on schedule, as these tasks would delay the entire conference. Other tasks, like Task C and Task D, have some flexibility but still need attention to avoid knock-on effects.

This example shows how CPM helps project managers focus on the most critical tasks, optimize resources, and ensure that the project is completed on time.

Critical Path Method vs PERT

While CPM stands for Critical Path Method and PERT for Program Evaluation and Review Technique, the former applies to known and fixed project durations of tasks. In contrast, the latter deals with uncertain or variable task durations. It finds out the critical path that enables one to minimize project time. This method is deterministic and thus quite ideal for repetitive projects like construction work. However, PERT is used on projects which have uncertainty about task time ranges. It uses three time estimates, optimistic, pessimistic, and most likely, to evaluate expected durations. PERT is probabilistic and very useful in research and development projects where time estimation is uncertain.

Critical Path Method vs Gantt Chart

Horizontal bar charts, called Gantt charts, layout project activities that may be monitored within a predetermined time frame. The dependencies between tasks are displayed using both critical path methods (CPM) and Gantt charts.

Here are some distinctions between the two tools:

CPM (Critical Path Method)

  • Project duration is calculated, and critical and non-critical pathways are visualized.
  • Shown as a network diagram with connected boxes.
  • Does not indicate the resources needed
  • Plot activity without a time frame on a network diagram

Gantt Diagram

  • Visualizes the development of project activity
  • Presented as a horizontal bar graph.
  • Demonstrates the resources needed for each action
  • Creates a timetable of activities

Gantt charts and CPM can be used in conjunction to monitor critical pathways over time and keep your project on schedule.

Choose the Right Program

Are you looking to take your project management skills to the next level? Look no further than Simplilearn's comprehensive project management courses!

Our courses are designed to help professionals at every level of experience to develop and enhance their project management skills, whether you're just starting out in the field or looking to advance your career. With our courses, you'll gain practical, hands-on experience in managing projects from start to finish, and learn best practices and industry standards that will set you apart from the competition.

Program NamePMP® Certification Training CoursePMP PlusProfessional Certificate Program in Project Management
GeoAll GEOsAll GEOsAll GEOs
UniversityPMISimplilearnVirginia Tech
Course Duration90 Days of Flexible Access to Online Classes

36 Months10 Weeks
Coding experience reqdNoNoNo
Skills you wll learn8+ PM skills including Work Breakdown Structure, Gantt Charts, Resource Allocation, Leadership and more.6 courses including Project Management, Agile Scrum Master, Implementing a PMO, and More11+ Skills, including Project, Agile, and Lean Management, Cost Management, Leadership
Additional Benefits-Experiential learning through case studies -Global Teaching Assistance -35PDUs-Learn by working on real-world problems
--24x7 Learning support from mentors
-Secure 140+ PDUs for renewal
Cost$$$$$$$$$$
Explore ProgramExplore ProgramExplore Program

What’s Next?

Now that you've gained a solid understanding of the critical path method, you're ready to explore more complex project management concepts. We recommend signing up for the PMP® Certification Training, a crucial step in your professional development. This training will not only prepare you for your PMP certification exam but also enhance your project management skills. By using effective tools like Microsoft Excel templates, you can take your career to a whole new level.

FAQs

1. What is the critical path formula? 

It's an independent sequence of activities that determines the minimum duration required for the completion of a project. When locating the critical path, it identifies all activities that have zero slack or zero float: the ES equates with LS and EF equals LF. These important steps include a forward pass to determine the earliest start and finish times and a backward pass for the latest start and finish times.

2. What is a CPM schedule? 

A critical path method (CPM) schedule is one of the project management tools used in outlining the sequence of tasks that must be completed to finish a project. It identifies the critical path, thereby enabling efficient scheduling and resource allocation. It also gives the project manager a better view of the whole timeline of the project, which would help monitor the progress of completion of tasks in the project and adjust the plan to focus on the critical activities to meet the deadlines.

3. What are the four main steps involved within the CPM? 

The four main steps involved in the Critical Path Method (CPM) are:

  1. List All Tasks: Identify and list all tasks required to complete the project, including their durations and dependencies.
  2. Create a Network Diagram: Develop a visual representation of the tasks and their dependencies, usually in the form of a flowchart.
  3. Perform Forward and Backward Passes: Calculate the earliest and latest start and finish times for each task to identify the critical path.
  4. Identify and Monitor the Critical Path: Focus on the tasks in the critical path, ensuring they are completed on time to avoid delays in the overall project.

4. Can the critical path change during the course of a project?

Yes a project's critical path may change in the course of a project execution. It might be changed at any time because of changes to the length of tasks, the introduction of new tasks, or delays in non-critical tasks that actually turn out to be critical. In this, continuous monitoring and updating of the CPM schedule are important to account for changes and assure that the project stays on track.

5. Can CPM be used for all types of projects? 

While the Critical Path Method is amazingly proficient in most project works, especially those with well-defined tasks and dependencies, it does not quite fit some projects. It applies best in projects with well-defined workflows and durations that are fairly predictable. For projects with high uncertainty, artistic/creative processes, or tasks that are extremely interdependent and iterative, more flexible methods of project management, such as Agile, are applied.

CPM

About the Author

Rahul ArunRahul Arun

Rahul is a Senior Research Analyst at Simplilearn. Blockchain, Cloud Computing, and Machine Learning are some of his favorite topics of discussion. Rahul can be found listening to music, doodling, and gaming.

View More
  • Acknowledgement
  • PMP, PMI, PMBOK, CAPM, PgMP, PfMP, ACP, PBA, RMP, SP, OPM3 and the PMI ATP seal are the registered marks of the Project Management Institute, Inc.
  • *All trademarks are the property of their respective owners and their inclusion does not imply endorsement or affiliation.
  • Career Impact Results vary based on experience and numerous factors.