The Definitive Guide to Understand Spearman’s Rank Correlation
TL;DR: Spearman’s rank correlation is a non-parametric method that measures the strength and direction of a relationship between two ranked variables. It works on ordinal data and doesn't demand a normal distribution.

Not every dataset is clean, linear, or normally distributed, and that's exactly where Spearman’s rank correlation earns its place. First proposed by British psychologist Charles Spearman in 1904, it was intended to quantify relationships in which raw numbers do not fully capture the story.

This guide will walk through what Spearman’s Rank Correlation is, why it is important, how to compute it step by step, and how it compares to Pearson's correlation.

What is Spearman’s Rank Correlation?

Spearman's rank correlation is a non-parametric statistical measure that evaluates the strength and direction of a relationship between two ranked variables. In contrast to Pearson correlation, it does not operate on raw values; it operates on the "ranks" of those values.

This is why Spearman's rank correlation is so versatile: it does not assume the data are normally distributed, and the relationship between variables need not be perfectly linear.

At its core, Spearman's correlation tells you how well a monotonic function can describe the relationship between two variables. A monotonic relationship is such that as one variable increases, the other always increases (or decreases) just not at a constant rate, but in the same direction.

The Spearman’s coefficient of correlation, denoted by ρ (rho) or rₛ, ranges from −1 to +1, where:

  • +1 means a perfect positive relationship
  • −1 means a perfect negative one
  • 0 means no relationship at all

With the Data Scientist Master’s Program from IBMExplore Program
Take Your Data Scientist Skills to the Next Level

When is Spearman’s Correlation Used?

Spearman's correlation is the right choice when your data don't meet the neat assumptions that Pearson's requires. Specifically, you'd reach for it when:

  • The relationship between variables is monotonic but not necessarily linear
  • Your dataset has outliers that could skew a Pearson analysis
  • Your data is non-normal or skewed in distribution
  • Your data is ordinal or rank-based

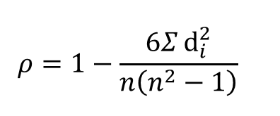
Formula for Spearman’s Rank Correlation

The Spearman’s correlation formula is:

Rank Correlation Formula

Alt Text: Spearman’s Correlation Formula

Where:

𝝆 = Spearman’s rank correlation coefficient

di = Difference between the two ranks of each observation

n = Number of observations

Spearman's rank correlation is used when there are no tied ranks in the data. When ties do exist, a correction factor is added to the numerator to account for repeated rank values.

With the Data Scientist Master's ProgramStart Learning
Master Data Science and Unlock Top-Tier Roles

Steps to Calculate Spearman’s Rank Correlation

Most people overthink this, but the process is straightforward. Here's how to move from raw data to a correlation coefficient without overcomplicating it.

Step 1: Build Your Data Table

Lay your data out in a simple table before doing anything else. This sounds obvious, but skipping proper organization at this stage creates problems down the line that are annoying to trace back:

  • Two columns, one for each variable you're comparing
  • Each row is one observation or subject
  • Label your columns clearly so you don't confuse the two variables mid-calculation
  • Check for missing values before you start. In case a row is not complete, it cannot be ranked well, and it should be dealt with first
  • Ensure that the matching is accurate. Variable A Row 3 should always be matched in Variable B Row 3

The cleaner your table, the smoother all the steps that follow this are.

Step 2: Rank Each Variable Separately

Assign ranks to each variable on its own, never together:

  • Highest value = Rank 1, next highest = Rank 2, and continue down the list
  • Once you've ranked the first variable completely, start fresh with the second; don't carry anything over
  • Got a tie? Average the positions those values would've taken. Two values tied at 3rd and 4th both get 3.5, and you continue from 5 as normal

Even in real data, tied ranks are common, so don't violate this rule.

Step 3: Find the Difference Between Ranks (d)

For each observation, determine the difference between the ranks of the two variables. This disparity is referred to as d. Whether the sign is positive (+) or negative (-) does not matter, since the sign disappears in the step. The importance lies in the size of the difference in the ranks.

Step 4: Square Each Difference (d²)

Now, square each value of d to get d². Squaring eliminates negative signs and also emphasizes the larger differences between ranks. Sum all the squared differences and obtain the total, which is denoted as Σd². This value will be directly entered into the formula.

Step 5: Apply the Formula

Enter your values in the Spearman’s correlation formula from before. The outcome will be between -1 and +1.

  • A value close to +1 signals a strong positive correlation
  • Close to -1 signals a strong negative one
  • Near 0 means the ranks have little to no consistent relationship
Not confident about your data science skills? Join the Data Science Course and learn database management, descriptive statistics, data visualization, inferential statistics, and LLM in just 11 months!

Spearman’s vs Pearson Correlation

Both measure the relationship between two variables, but they're built for different kinds of data and different situations. Here's how they stack up against each other.

Aspect

Pearson Correlation

Spearman’s Correlation

Type of Relationship

Measures linear relationships

Measures monotonic relationships

Data Type

Continuous interval or ratio data

Ordinal, ranked, interval, or ratio data

Normality Required

Yes, assumes normal distribution

No, works with non-normal data

Sensitivity to Outliers

Highly sensitive. Outliers can skew results significantly

Resistant. Ranks reduce the impact of extreme values

Calculation Basis

Covariance and standard deviations of raw values

Differences between ranked data points

When a relationship is Perfectly Monotonic

ρ is positive but less than +1

ρ equals exactly +1

Best Used For

Finance, healthcare, and machine learning

Education, psychology, survey-based research

Example

Relationship between height and weight

Relationship between study hours and exam ranks

Also Read: Correlation vs Covariance

Key Takeaways

  • Spearman's rank correlation is a non-parametric method; it ranks data first and requires no normal distribution
  • Use it when the data are ordinal, contain outliers, or exhibit a monotonic rather than strictly linear relationship
  • ρ ranges from -1 to +1; closer to either extreme means a stronger correlation
  • Spearman’s is also less sensitive to extreme values than Pearson, making it more suitable for real-world data
From data cleaning and reporting to visualization and business insights, the Data Analyst Roadmap covers the complete learning path for aspiring analysts.

FAQs

1. When should Spearman correlation be used?

Use it when data is not normally distributed, relationships are monotonic, or when working with ranked or ordinal data.

2. Can Spearman correlation be used for ordinal data?

Yes, Spearman correlation is well-suited for ordinal data since it relies on ranking rather than precise numerical values.

3. What is an example of a Spearman's rank order correlation?

Ranking students by hours studied and exam scores, then measuring how closely the ranks match. If higher study time consistently aligns with higher ranks in scores, Spearman’s correlation will be high.

4. What does a Spearman's correlation of 0.05 indicate?

A value of 0.05 indicates a very weak or almost no monotonic relationship between the two variables.

5. What is a good value for Spearman correlation?

Values close to +1 or -1 are considered strong. Generally, above 0.7 (or below -0.7) indicates a strong correlation.

About the Author

Aryan GuptaAryan Gupta

Aryan is a tech enthusiast who likes to stay updated about trending technologies of today. He is passionate about all things technology, a keen researcher, and writes to inspire. Aside from technology, he is an active football player and a keen enthusiast of the game.

View More
  • Acknowledgement
  • PMP, PMI, PMBOK, CAPM, PgMP, PfMP, ACP, PBA, RMP, SP, OPM3 and the PMI ATP seal are the registered marks of the Project Management Institute, Inc.
  • *All trademarks are the property of their respective owners and their inclusion does not imply endorsement or affiliation.
  • Career Impact Results vary based on experience and numerous factors.